金属锂具有高理论比容量和低氧化还原电位,与高电压正极匹配可提升锂电池能量密度。传统的有机电解液体系无法满足锂金属电池的安全性要求,具有宽电化学窗口和不易燃的固态电解质被视为提升电池安全性和能量密度的合理解决方案。石榴石型LLZO氧化物具有高离子电导率和对金属锂稳定等优势,是一种应用前景广阔的固态电解质。但由于固态电解质表面碳酸锂绝缘层和金属锂表面氧化层的存在,如何通过简单可靠的工艺实现并保持固态电解质-锂金属界面的良好浸润是一大挑战。
近日,yl88858永利集团汪长安教授和董岩皓助理教授提出在熔融金属锂中加入反应型氮化镁添加剂,通过化学反应驱动力实现了添加剂的均匀分散,原位生成的氮化锂具有强反应活性,促进了熔融锂对容器的润湿和铺展,简化了电池组装过程,同时提高了金属锂对石榴石电解质的浸润性,降低了界面电阻,提高了固态电解质对锂枝晶的耐受能力和电池的循环稳定性。

图1. 反应性氮化镁添加剂简化了电池组装工艺,构筑了高浸润性超薄锂负极
初始态熔融锂在坩埚内部呈球状,加入氮化镁后搅拌,熔融锂可在不锈钢坩埚底部铺展,表面氧化膜易被刮刀去除,暴露出新鲜的金属锂。相比原始状态的熔融锂,电解质表面可获得厚度均匀的超薄金属锂负极(小于20微米),且界面接触良好,无明显缝隙。本文提出反应分散和反应浸润的机制来解释实验现象。氮化镁与金属锂的化学反应为氮化镁粉末在熔融锂中的分散提供了强驱动力,可视为反应分散过程。反应原位生成的氮化锂具有强反应活性,可在高温下与不锈钢发生微量界面反应,使得熔融锂很快润湿坩埚底部,添加剂种类可扩展至氮化钛、氮化锆、氮化钽和氮化铌等氮化物,均可轻易实现对不锈钢的润湿,从而支持此概念的普适性。类似地,氮化锂也可能与氧化物电解质在界面处发生反应,促进锂与石榴石界面的更紧密结合。
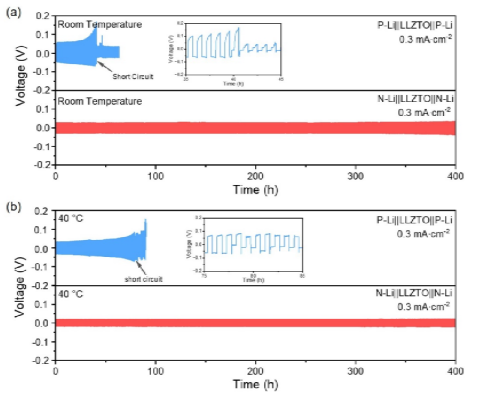
本文分别测试了加入氮化镁前后锂对称电池的长循环性能。加入添加剂后,锂对称电池在室温和40℃下、以0.3mA/cm2电流密度均可稳定循环超过400小时。此外,本文还验证了其在0.5mA/cm2的更大电流密度下可稳定循环超过700小时,证明了良好的界面循环稳定性。

图2. 加入氮化镁添加剂前后的锂对称电池循环性能对比
本文通过向熔融锂中加入少量氮化镁作添加剂,改善了锂对石榴石电解质的润湿行为,降低了锂电池组装实验难度,在锂/石榴石电解质界面实现了较强的界面结合和卓越的电化学稳定性。反应分散和反应浸润的机制为电化学性能的改善提供了可能的解释,未来有望应用于其它器件中构筑高质量电化学界面。相关成果近日以“Reactive Magnesium Nitride: A Drop-in Solution for Lithium/Garnet Wetting in All-Solid-State Batteries”为题发表在《Angewandte Chemie International Edition》期刊上,2018级博士生陈林辉为第一作者,yl88858永利集团董岩皓助理教授和汪长安教授为本文共同通讯作者。该研究获得国家自然科学基金项目支持。
论文链接:https://doi.org/10.1002/anie.202305099