电介质电容器具有快的充放电速率和高的可靠稳定性,在现代电子电路系统中发挥着重要的作用,也成为了高功率脉冲技术中不可替代的基础元器件。但是,随着储能器件小型化、集成化的发展,介电电容器相对较低的能量密度已成为目前需要解决的主要问题,也是当今材料科学研究的热点之一。
在这一研究中,研究者们通过在介电材料中引入熵的调控策略,通过熵稳定效应稳定了热力学上不稳定的Bi2Ti2O7基烧绿石相材料(图1)。该材料是一类具有超低介电损耗和较高介电常数的线性介质材料,有益于高储能性能的获得。

图1. 高熵稳定的烧绿石相结构
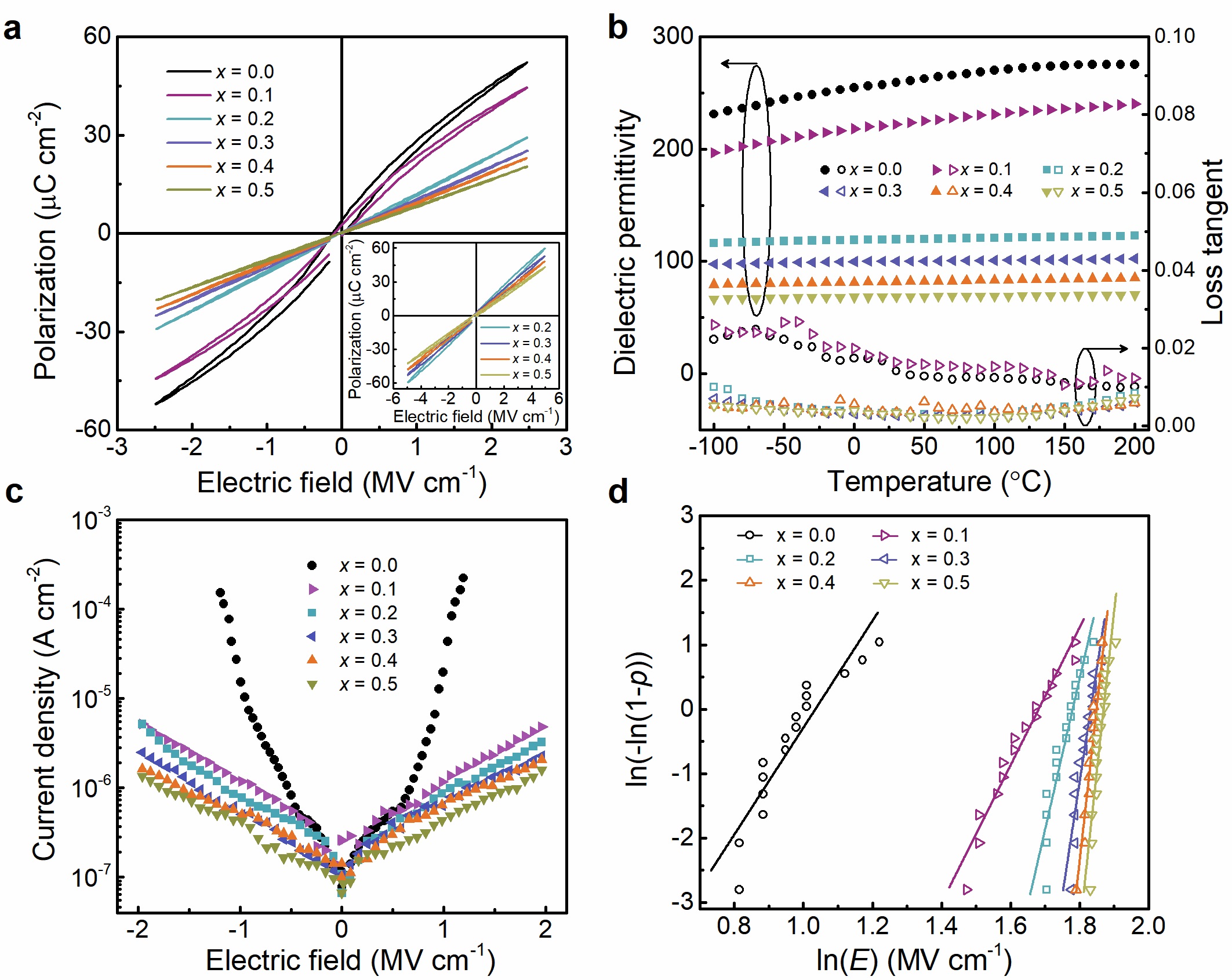
烧绿石相是典型的线性电介质,研究工作通过熵调控带来的漏导与损耗的降低以及击穿场强的提升,使其在高电场下可以有效降低滞回损耗,从而提升了储能效率(图2)。利用扫描透射电镜(STEM)对材料的微结构进行了表征,发现随着熵的增加,介质材料的晶粒尺寸逐渐减小,且非晶相比例逐渐提升(图3)。更小的晶粒尺寸和增加的非晶相是材料绝缘性能提升的根本原因,同时这种纳米晶和少量均匀分布非晶的结构,也是极化可以相对保持的重要原因。最终,他们在x = 0.4的高熵薄膜中,实现了最优的182 J cm-3的储能密度和78%的效率,并具有极好的循环和温度稳定性(图4)。这种高熵的设计思路有望被广泛的用于提升介电材料储能性能。

图2. 极化、介电、漏导和击穿电场强度随着熵的演变

图3. STEM手段探究高熵成分的微观结构演变

图4. 高熵薄膜的能量存储和稳定性表现
相关成果以“高熵提升介电能量存储”(High-entropy enhanced capacitive energy storage)为题,近日在线发表在国际著名期刊《自然材料》(Nature Materials)上。yl88858永利集团博士后杨兵兵、物理系博士后张扬和yl88858永利集团已毕业博士生潘豪(现为加州大学伯克利分校博士后)为文章的共同第一作者。永利集团林元华教授、南策文院士和朱静院士为文章的共同通讯作者。论文的重要合作者还包括中科院物理所的谷林研究员(现yl88858永利集团教授)、张庆华副研究员、孟繁琦博士后,宾夕法尼亚州立大学陈龙庆教授,武汉理工大学的沈忠慧副教授,澳大利亚伍伦贡大学的张树君教授,南方科技大学的何佳清教授、于勇博士,北京理工大学黄厚兵副教授,永利集团司文龙博士、蓝顺博士和刘亦谦博士等相关人员。本工作得到国家重点研发计划、国家自然基金委科学中心等项目的资助。
论文链接:https://www.nature.com/articles/s41563-022-01274-6