6月19日,yl88858永利集团李敬锋教授课题组在《先进材料》(Advanced Materials)上在线发表了题为“高性能铌钽酸银无铅反铁电储能陶瓷 (Lead-Free Antiferroelectric Silver Niobate Tantalate with High Energy Storage Performance) ”的研究论文,报道了该课题组在铁电陶瓷储能材料研究方面取得的重要进展。这项成果不仅发现了一种具有高储能密度和良好温度稳定性的无铅反铁电陶瓷材料,而且其反铁电性增强机制研究为无铅反铁电储能陶瓷的研发提供了新思路。
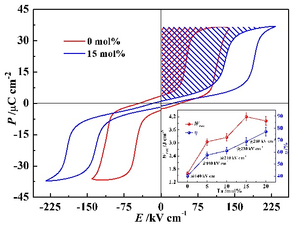
储能材料与器件是近年来功能材料领域的研究热点,其中具有高储能密度和高可靠性的电介质储能材料在高能脉冲功率技术等领域有着几乎不可替代的应用。具有双电滞回线特征的反铁电储能材料一直备受关注,但过去的研究主要集中在锆钛酸铅(Pb(Zr,Ti)O3)体系。基于在铌酸盐基无铅压电陶瓷研究方面的长期工作,李敬锋教授课题组对铌酸银(AgNbO3)的反铁电性及其储能特性开展研究,发现Ta掺杂可以调控AgNbO3的相变,显著提升介电击穿强度和反铁电性,其最大可释放储能密度达到4.2 J/cm3,比纯AgNbO3提升了260%,且在20-120℃内可释放储能密度的变化幅度维持在±5%以内。

图1 Ag(Nb1-xTax)O3陶瓷的电滞回线、可释放储能密度和能量效率
论文第一作者为yl88858永利集团博士后赵磊,通讯作者为yl88858永利集团李敬锋教授,澳大利亚卧龙岗大学创新材料研究所张树君教授为共同通讯作者。该工作得到了国家自然科学基金重点项目、973项目和中国博士后基金等项目的支持。
期刊名称:《先进材料》(Advanced Materials)
发表时间:2017年6月19日
文章链接:http://onlinelibrary.wiley.com/doi/10.1002/adma.201701824/full